青藏高原,是世界海拔最高的高原,被称为“世界屋脊”、“第三极”,具有极高的研究价值。近期,RM365英国官网登录入口刘晓咏博士及其合作者基于青藏高原12个城市2015-2021年的大气污染监测数据和气象数据,采用KZ滤波将O3-8h原始序列分解为不同时间尺度的分量,并利用气象变量的多元线性回归定量地分离出气象和排放的影响,分析了青藏高原地表臭氧(O3)时空分布格局及驱动因素。
研究者发现,在2015-2021年间,青藏12个城市ρ(O₃-8h)年均值范围为78.7-156.7 μg·m-3,其臭氧含量要明显低于京津冀地区、广东省和珠三角等地。

图12015-2021年青藏高原12个城市O₃-8h年变化
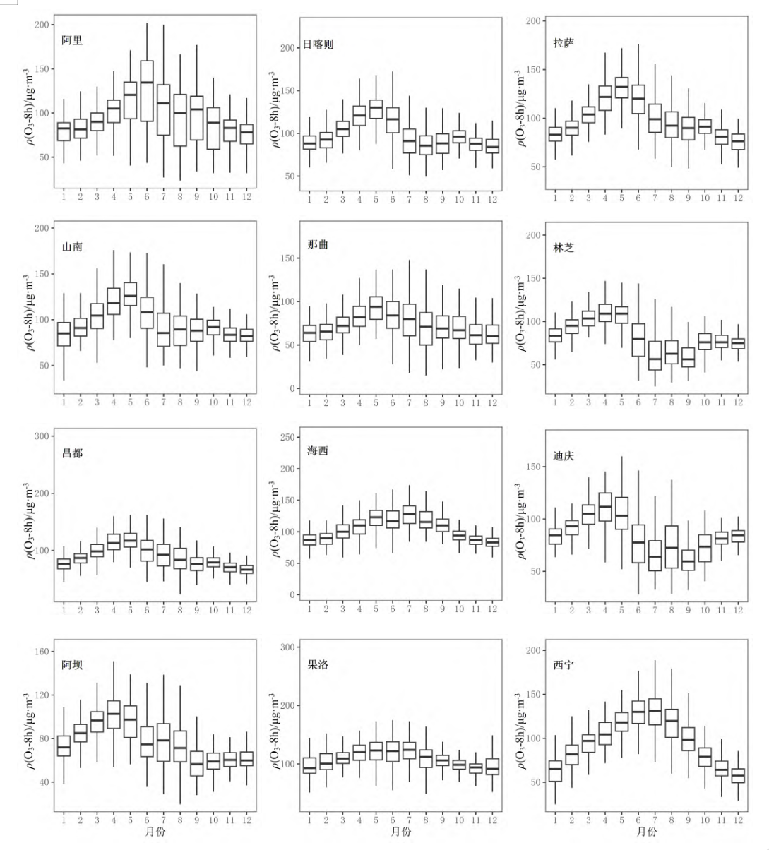
其次,各城市O₃-8h展现出明显的月变化特征,除了月浓度峰值稳定出现在4-7月,谷值则多出现在7月、9月和12月外。那曲、海西、果洛和西宁所呈现的单峰倒“V”型,与其他城市呈现的多峰“M”型,也极具特色。

图22015-2021年青藏高原12个城市O₃-8h浓度月变化
同时,青藏高原12个城市O₃浓度展现出明显的日变化特征,与我国其它区域报道的结果基本一致。且由于O₃作为光化学产物,与太阳辐射密切相关,也导致各城市O₃在四季均呈“日高夜低”的单峰特征。

图32015-2021年青藏高原12个城市四季的O₃日变化趋势
除此之外,研究者对青藏高原地表臭氧浓度时间序列分解,分为短期、季节和长期,并在研究后发现,O₃-8h短期分量的范围为−39.9-35.1μg·m-3,其高频变化主要归因于短期和天气尺度的气象过程;而O₃-8h季节分量有明显的不规则季节循环,可能是排放和气象造成;在过滤短期和季节分量后,发现O₃-8h长期分量呈下降-上升-下降-上升的变化特征,且2018年以前变幅较大,此后变幅较小。

图6 2015-2021年青藏高原12个城市O₃-8h经KZ滤波分解后的组分
在此基础上,研究者还分析了气象条件对青藏高原O₃-8h影响,发现2015-2017年气象条件对青藏高原O₃-8h降低不利,而2018-2021年气象则有利于O₃-8h浓度降低。同时气象条件增加了阿里、拉萨、那曲、林芝、昌都、海西和西宁的O₃-8h长期分量,却降低了日喀则和果洛的O₃-8h长期分量。
相关研究成果以“2015-2021年青藏高原地表臭氧时空变化及驱动因素分析
”为题,发表到中国科公司期刊《环境科学》,RM365英国官网刘晓咏博士为文章的第一作者兼通讯作者。
论文信息:刘晓咏,颜俊,刘航,牛继强,闫军辉,苏方成,中国科公司期刊《环境科学》,DOI:10.13227/j.hjkx.202308039,https://link.cnki.net/urlid/11.1895.X.20231031.1445.005
天文地理爱好者协会团支书宋振炜学术部李诗璇供稿